منبع کتاب  مبانی اقتصادی سیستم قدرت  ( ترجمه دکتر حسن منصف )
حل مثالها و تمرینات پایان فصل با ذکر جزئیات
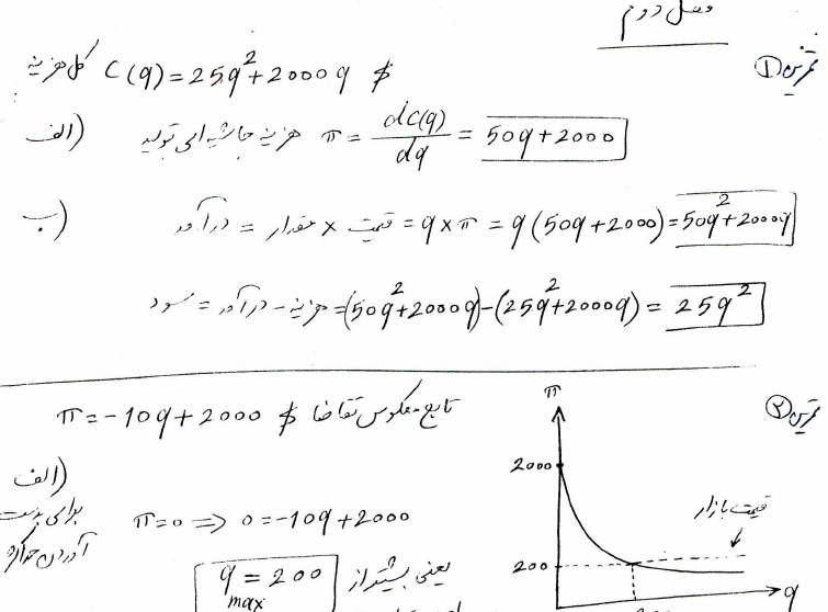
فرمولهای مهم و کاربردی هرفصل دسته بندی شده و فقط به مثالها و تمرینات مطروحه در امتحانات پایان ترم پرداخته و جزئیات مورد نیاز برای حل هر تمرین با توضیحات کامل در طی مراحل آورده شده است.
در ضمن فصولی همانند 1 که به تعاریغ می پردازد نادیده گرفته شده است.
                            
                                حل مثالها و تمرینات پایان فصل با ذکر جزئیات
فرمولهای مهم و کاربردی هرفصل دسته بندی شده و فقط به مثالها و تمرینات مطروحه در امتحانات پایان ترم پرداخته و جزئیات مورد نیاز برای حل هر تمرین با توضیحات کامل در طی مراحل آورده شده است.
در ضمن فصولی همانند 1 که به تعاریغ می پردازد نادیده گرفته شده است.
                                    برای بازکردن فایل نیاز به نرم افزارهای زیر دارید :RARZIP
                                
                                
                                    pdf
                                
                        فایل های دیگر این دسته
- 
                                        
                                            
                                            قیمت: 47٬500 تومانجزوه معادلات دیفرانسیل - 76 صفحه -pdf
 - 
                                        
                                            
                                            قیمت: 47٬500 تومانجزوه کنترل توان راکتیو میلر - 103 صفحه -pdf
 - 
                                        
                                            
                                            قیمت: 47٬500 تومانجزوه فیزیک عمومی - 63 صفحه -pdf
 - 
                                        
                                            
                                            قیمت: 47٬500 تومانسوالات حل شده پایان ترم دینامیک سیستمهای قدرت - 12 صفحه -pdf
 - 
                                        
                                            
                                            قیمت: 47٬500 تومانجزوه سیستمهای کنترل خطی - 115 صفحه -pdf
 - 
                                        
                                            
                                            قیمت: 47٬500 تومانجزوه سیستم توزیع انرژی الکتریکی - 74 صفحه -pdf
 - 
                                        
                                            
                                            قیمت: 47٬500 تومانجزوه ریاضیات مهندسی - 121 صفحه -pdf
 - 
                                        
                                            
                                            قیمت: 47٬500 تومانجزوه ریاضیات کاربردی - 69 صفحه -pdf
 - 
                                        
                                            
                                            قیمت: 47٬500 تومانجزوه ریاضیات 2 - 89 صفحه -pdf
 - 
                                        
                                            
                                            قیمت: 47٬500 تومانجزوه ریاضیات 1 - 80 صفحه -pdf